CHP Bursa Milletvekili Kayıhan Pala, Uludağ'da yaşanan yangını Meclis'e taşıdı. Pala, yangın güvenliği eksikliklerinin açıklanmasını ve sorumluların hesap vermesini talep etti. Turizm Bakanlığı'nı görevini yapmaya çağırdı ve güvenliğin sağlanması için eylem planı istedi.
Haber Giriş Tarihi: 02.06.2025 14:21
Haber Güncellenme Tarihi: 02.06.2025 15:09
Kaynak:
İHA
CHP Bursa Milletvekili Prof. Dr. Kayıhan Pala, 25 Mart 2025’te Uludağ I. Oteller Bölgesi’nde Kervansaray Oteli’nde, milli sporcu Berkin Usta ile anne ve babası Fikriye ve Yahya Usta’nın hayatını kaybettiği yangını Meclis gündemine taşıdı. Kültür ve Turizm Bakanı Mehmet Nuri Ersoy’un yanıtlaması istemiyle sunulan yazılış soru önergesinde, otellerdeki yangın güvenliği zincirinin netleştirilmesi, yetki belirsizliğinin giderilmesi ve yangında sorumluluğu olanların tespit edilmesi taleplerini dile getiren Pala, “2023 yılında çıkarılan Uludağ Alanı Hakkında Kanun’a göre bölgeden sorumlu olan Uludağ Alan Başkanlığının idari faaliyetleri incelenmeli ve sonuçları kamuoyuyla paylaşılmalı” çağrısında bulundu.
Uludağ’da sezonun kapanış döneminde, yangının yaşandığı gece otelde kaç çalışanın, kaç ziyaretçinin bulunduğunun hâlâ açıklanmadığına dikkat çeken Pala, tesis işletme belgesinin statüsünü, konaklayanların otelde bulunma gerekçesini, müşteri-personel ayrımını ve yangın anındaki toplam mevcudu öğrenmeden olayın gerçek boyutunun anlaşılamayacağını vurguladı.
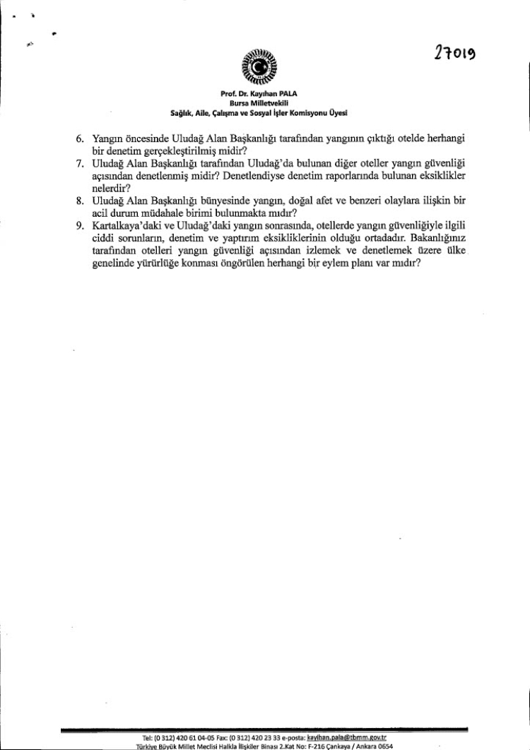
Uludağ’daki turistik işletmeler kanun gereği Alan Başkanlığı’nın denetimine tabi. Buna karşın otelin en son yangın güvenliği kontrol tarihini, kontrolü yapan ekibin unvan ve yetkinliğini, raporda yer alan eksiklerin listesini kamuoyu hâlâ bilmiyor. Pala, “Söz konusu otelde bir denetim gerçekleştirildi mi? Denetimde yangın merdiveni kontrol edildi mi, alarm sistemi çalışıyor muydu, sprinkler sistemi aktif miydi, projeye aykırı elektrik hattı var mıydı? Bu ayrıntıları bilmiyoruz. Kamu adına idari yetki kullanan kişi ve kurumlar, sorumluları tespit edip hesap sormak ve kamuya hesap vermekle yükümlüdür. Bakanlık görevini ihmal edenleri değil, yurttaşın can güvenliğini korumalıdır.” ifadeleriyle Bakanlığı asli görevini yapmaya davet etti.
Aynı şekilde, otelde eksikler tespit edildiyse işletmeye kapatma, faaliyet kısıtlama veya süreli düzeltme kararı verilip verilmediğinin açıklanmasını isteyen Pala, “Hata görüldü ama ‘sezon bitiyor’ deyip göz mü yumuldu, rapor sümen altı mı edildi; yoksa böyle bir rapor hiç düzenlenmedi mi?” sorularını sordu. Olay yerindeki bilirkişi incelemesinin sonucunun da hâlâ yayımlanmadığına dikkat çeken Pala, soruşturmanın hangi aşamada olduğu, otel yönetiminin ihmalinin olup olmadığı sorularının sürüncemede bırakıldığı eleştirisini dile getirdi.
Bölgenin ormanla iç içe, ulaşımı zorlaştıran coğrafi yapısının yangın, doğal afet ve benzeri olaylara müdahaleyi güçleştirdiğini ve bu nedenle bölgeye yönelik özelleşmiş bir acil müdahale biriminin gerekli olduğunu belirten Pala, “Yangın güvenliği, yüksek riskli turizm alanlarında günlük hayat kadar planlı olmalı; Uludağ’da güvenlik süreçlerinin kim tarafından, nasıl icra edildiği ve denetlendiği meçhul.” ifadelerini kullandı.
Uludağ’daki diğer tesislerin yangın güvenliği bakımından nasıl denetlendiği, bu denetimlerde ne tür eksikler bulunduğu ve bu açıkların kapatılması için hangi takvimin uygulandığı da Kayıhan Pala’nın soru önergesinde yanıt bekleyen sorulardan. Kartalkaya ve Uludağ’da aynı sezon içinde arka arkaya yaşanan yangınların, sistemsel bir bozukluğa işaret ettiğinin altını çizen Pala, Kültür ve Turizm Bakanlığının turizm konaklama tesislerinde yangın güvenliği izleme-denetim-yaptırım modelini içeren bütüncül bir eylem planı olup olmadığını da sordu. Kamu otoritesinin rant hesaplarına değil, halka karşı sorumlu olduğunu vurgulayan Pala, “Bakanlık ve Uludağ Alan Başkanlığı, yaşanan facianın her noktasını aydınlatmakla ve gerekiyorsa hesap vermekle yükümlü. Turizm sektöründe çalışan emekçiler ile turistlerin güvenliğinden sorumlu kişi ve kurumlar kafasını kuma gömemez. Güvenlik yoksa iş barışı da turizm de yoktur.” diyerek açıklamasına sonlandırdı.
Sizlere daha iyi hizmet sunabilmek adına sitemizde çerez konumlandırmaktayız. Kişisel verileriniz, KVKK ve GDPR
kapsamında toplanıp işlenir. Sitemizi kullanarak, çerezleri kullanmamızı kabul etmiş olacaksınız.
En son gelişmelerden anında haberdar olmak için 'İZİN VER' butonuna tıklayınız.
Pala: ‘Sezon bitiyor’ diye göz mü yumuldu?
CHP Bursa Milletvekili Kayıhan Pala, Uludağ'da yaşanan yangını Meclis'e taşıdı. Pala, yangın güvenliği eksikliklerinin açıklanmasını ve sorumluların hesap vermesini talep etti. Turizm Bakanlığı'nı görevini yapmaya çağırdı ve güvenliğin sağlanması için eylem planı istedi.
CHP Bursa Milletvekili Prof. Dr. Kayıhan Pala, 25 Mart 2025’te Uludağ I. Oteller Bölgesi’nde Kervansaray Oteli’nde, milli sporcu Berkin Usta ile anne ve babası Fikriye ve Yahya Usta’nın hayatını kaybettiği yangını Meclis gündemine taşıdı. Kültür ve Turizm Bakanı Mehmet Nuri Ersoy’un yanıtlaması istemiyle sunulan yazılış soru önergesinde, otellerdeki yangın güvenliği zincirinin netleştirilmesi, yetki belirsizliğinin giderilmesi ve yangında sorumluluğu olanların tespit edilmesi taleplerini dile getiren Pala, “2023 yılında çıkarılan Uludağ Alanı Hakkında Kanun’a göre bölgeden sorumlu olan Uludağ Alan Başkanlığının idari faaliyetleri incelenmeli ve sonuçları kamuoyuyla paylaşılmalı” çağrısında bulundu.
Uludağ’da sezonun kapanış döneminde, yangının yaşandığı gece otelde kaç çalışanın, kaç ziyaretçinin bulunduğunun hâlâ açıklanmadığına dikkat çeken Pala, tesis işletme belgesinin statüsünü, konaklayanların otelde bulunma gerekçesini, müşteri-personel ayrımını ve yangın anındaki toplam mevcudu öğrenmeden olayın gerçek boyutunun anlaşılamayacağını vurguladı.
Uludağ’daki turistik işletmeler kanun gereği Alan Başkanlığı’nın denetimine tabi. Buna karşın otelin en son yangın güvenliği kontrol tarihini, kontrolü yapan ekibin unvan ve yetkinliğini, raporda yer alan eksiklerin listesini kamuoyu hâlâ bilmiyor. Pala, “Söz konusu otelde bir denetim gerçekleştirildi mi? Denetimde yangın merdiveni kontrol edildi mi, alarm sistemi çalışıyor muydu, sprinkler sistemi aktif miydi, projeye aykırı elektrik hattı var mıydı? Bu ayrıntıları bilmiyoruz. Kamu adına idari yetki kullanan kişi ve kurumlar, sorumluları tespit edip hesap sormak ve kamuya hesap vermekle yükümlüdür. Bakanlık görevini ihmal edenleri değil, yurttaşın can güvenliğini korumalıdır.” ifadeleriyle Bakanlığı asli görevini yapmaya davet etti.
Aynı şekilde, otelde eksikler tespit edildiyse işletmeye kapatma, faaliyet kısıtlama veya süreli düzeltme kararı verilip verilmediğinin açıklanmasını isteyen Pala, “Hata görüldü ama ‘sezon bitiyor’ deyip göz mü yumuldu, rapor sümen altı mı edildi; yoksa böyle bir rapor hiç düzenlenmedi mi?” sorularını sordu. Olay yerindeki bilirkişi incelemesinin sonucunun da hâlâ yayımlanmadığına dikkat çeken Pala, soruşturmanın hangi aşamada olduğu, otel yönetiminin ihmalinin olup olmadığı sorularının sürüncemede bırakıldığı eleştirisini dile getirdi.
Bölgenin ormanla iç içe, ulaşımı zorlaştıran coğrafi yapısının yangın, doğal afet ve benzeri olaylara müdahaleyi güçleştirdiğini ve bu nedenle bölgeye yönelik özelleşmiş bir acil müdahale biriminin gerekli olduğunu belirten Pala, “Yangın güvenliği, yüksek riskli turizm alanlarında günlük hayat kadar planlı olmalı; Uludağ’da güvenlik süreçlerinin kim tarafından, nasıl icra edildiği ve denetlendiği meçhul.” ifadelerini kullandı.
Uludağ’daki diğer tesislerin yangın güvenliği bakımından nasıl denetlendiği, bu denetimlerde ne tür eksikler bulunduğu ve bu açıkların kapatılması için hangi takvimin uygulandığı da Kayıhan Pala’nın soru önergesinde yanıt bekleyen sorulardan. Kartalkaya ve Uludağ’da aynı sezon içinde arka arkaya yaşanan yangınların, sistemsel bir bozukluğa işaret ettiğinin altını çizen Pala, Kültür ve Turizm Bakanlığının turizm konaklama tesislerinde yangın güvenliği izleme-denetim-yaptırım modelini içeren bütüncül bir eylem planı olup olmadığını da sordu. Kamu otoritesinin rant hesaplarına değil, halka karşı sorumlu olduğunu vurgulayan Pala, “Bakanlık ve Uludağ Alan Başkanlığı, yaşanan facianın her noktasını aydınlatmakla ve gerekiyorsa hesap vermekle yükümlü. Turizm sektöründe çalışan emekçiler ile turistlerin güvenliğinden sorumlu kişi ve kurumlar kafasını kuma gömemez. Güvenlik yoksa iş barışı da turizm de yoktur.” diyerek açıklamasına sonlandırdı.
Kaynak: İHA
En Çok Okunan Haberler
YAZARLARIMIZ Tüm Yazarlarımız